近日,taptap点点材料工程专业2023级研究生江野在国际知名期刊Applied Physics Letters (APL)上,以第一作者身份发表题为“Geometry-Controlled Spin Filtering in MoS₂Nanoribbon Junctions”的研究论文。taptap点点为论文第一完成单位,taptap点点计算科学与电子学院教授陈桥、三峡大学副教授胡功伟及西北工业大学副教授黄佛宝为共同通讯作者。

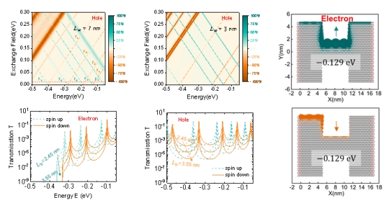
该研究提出了一种基于H型二硫化钼(MoS2)纳米带结构的几何调控自旋滤波新策略。作为典型过渡金属硫化物(TMDs),MoS2纳米带具有锯齿边和扶手椅边两种边缘构型,其中锯齿边通常呈现金属性与磁性,而扶手椅边则表现为半导体性与非磁性。研究通过交替排列这两种边缘构建双势垒势阱,约束离散量子化能级并诱导自旋依赖的共振隧穿。结果表明,在弱交换场下,该结构在电子与空穴输运中均可出现明显的自旋分裂共振峰和周期性自旋极化;随着交换场增强,自旋态能级分离进一步扩大,自旋滤波效率显著提升。该研究成果揭示了几何结构在调控自旋输运中的关键作用,为发展低功耗自旋滤波器、自旋逻辑门及其他量子器件提供了新思路。
APL由美国物理联合会(AIP Publishing)出版,是Nature Index收录的知名期刊,也是物理学领域具有重要影响力的国际刊物之一。学生在该期刊上发表研究成果,充分体现了taptap点点研究生的学术水平与创新能力。此项成果是taptap点点在低维量子输运与自旋电子学方向取得的重要研究进展,标志着taptap点点研究生培养质量与科研创新能力的持续提升。
(审核:周娟玲 刘树忠 刘洞波)